Iklan 300x250

40 choose the correct shear diagram for the beam. follow the sign convention.

Shear and bending moment diagrams are analytical tools used in conjunction with structural analysis to help perform structural design by determining the value of shear force and bending moment at a given point of a structural element such as a beam.These diagrams can be used to easily determine the type, size, and material of a member in a structure so that a given set of loads can be ... Draw the shear diagram for the beam. Follow the sign convention. (Figure 1) Click on "add vertical line off" to add discontinuity lines. Then click on "add segment" button to add functions between the lines. Note 1 - The curve you choose from the drop-down is only a pictorial representation of a real quadratic/cubic curve.

Answer (1 of 8): Sad to notice how some of the answers define bending moment as clockwise and anticlockwise. It's like, you take a rod in your hand and bend it with one hand by moving your hand clockwise or anticlockwise. But with one hand, you can surely rotate it, but not bend. To bend the rod...

Choose the correct shear diagram for the beam. follow the sign convention.

Choose the correct shear diagram for the beam. follow the sign convention.

shear force and bending moment and also some basic concepts of strength of materials in our recent posts. We have already seen the various types of beams and different types of loads on beam during our previous posts. Today we will see here the sign conventions for shear force and bending moment diagram in subject of strength of materials with the help of this post. F.1 (b), the positive sign convention is (a) tension axial force, (b) shear forces that produce clockwise momentsand (c) bending moments that result in tension stresses in the interior frame fibers. The sign convention of F.1(b) can be seen to be equivalent to the beam sign convention rotating columns AB and CD to line up with beam BC. 27 4.2 Notation and sign convention xShear force (V) Positive Shear Force A shearing force having a downward direction to the right hand side of a section or upwards to the left hand of the section will be taken as 'positive'. It is the usual sign conventions to be followed for the shear force. In some book followed totally opposite sign ...

Choose the correct shear diagram for the beam. follow the sign convention.. desirable to draw the V-diagram below the FBD of the entire beam, and then draw the M-diagrambelow the V-diagram. The bending moment and shear force diagrams of the beam are composites of the V and M diagrams of the segments. These diagrams are usually discontinuous, or have discontinuous slopes. Part A Draw the shear diagram for the beam. Follow the sign convention. (Figure 1) Click on ?add vertical line off? to add discontinuity lines. Part A Consider the beam shown in (Figure 1). Follow the sign convention. Draw the shear diagram for the beam Click on "add vertical line off" to add discontinuity lines. Then click on "add segment" button to add functions between the lines. ... Note 2 - Be sure to indicate the correct types of the functions between the lines, e.g. if ... For the derivation of the relations among w, V, and M, consider a simply supported beam subjected to a uniformly distributed load throughout its length, as shown in the figure below.Let the shear force and bending moment at a section located at a distance of x from the left support be V and M, respectively, and at a section x + dx be V + dV and M + dM, respectively.

Problem 4.3-1 Calculate the shear force V and bending moment M at a cross section just to the left of the 1600-lb load acting on the simple beam AB shown in the figure. Solution 4.3-1 Simple beam 4 Shear Forces and Bending Moments 259 AB 800 lb 1600 lb 120 in. 30 in. 60 in. 30 in. M A 0: R B 1400lb M B 0: R A 1000lb Free-body diagram of segment ... Choose the correct shear diagram for the beam. Follow the sign convention V - - w(6Lx + 3x)/12L -32 V = w(4L2 - 6Lx - 3x?)/12L 0.528. Figure 1 of 1 > V = - 3wx/4 -32 V = w(4L - 9x)/12 0.4445 Consider the beam shown in (Figure 1). Choose the correct moment diagram for the beam. Follow the sign convention. Based on this sign convention, the shear force at the section cut for the example cantilever beam in the figure above is positive since it causes clockwise rotation of the selected section. The moment is negative since it compresses the bottom of the beam and elongates the top (i.e., it makes the beam "frown"). When the shear diagram is increasing, the moment diagram is concave upward. When the shear diagram is decreasing, the moment diagram is concave downward. Sign Convention The customary sign conventions for shearing force and bending moment are represented by the figures below. A force that tends to bend the beam downward is said to produce a ...

Problem 7.59 Part A Draw the shear diagram for the beam. Follow the sign convention. (Figure 1) Click on 'add vertical line off to add discontinuity lines. Then click on "add segment" button to add functions between the lines. Note 1 - You should not draw an "extra" discontinuity line at the point where the curve passes the x-axis. Problem 7.84 Draw the moment diagram for the beam. Follow the sign convention. Click on "add vertical line off" to add discontinuity lines. Then click on "add segment" button to add functions between the lines. Note 1 - Draw a vertical line to denote local maximum or minimum. beam. The internal shear force (V) at any section of the beam: V = sum of all external forces (including the reaction force at support) either to the left or right from the section. (Both will have same magnitude but opposite direction as the beam is in static equilibrium) Sign convention of V = positive, if the force is upward to the left of ... The three most prominent internal forces in structural analysis calculations are the bending moment, shear force, and axial force. It is very common for people to define and state their sign convention before proceeding with any structural analysis problem. This is mainly due to variations in the selection of positive and negative coordinates.

Newft Eng Ui Ac Id

Newft Eng Ui Ac Id

Question: Problem 7.64 Part A Draw the shear diagram for the beam. Follow the sign convention. (Eiguro 1) Click on "add vertical line off" to add discontinuity lines. Then click on "add segment" button to add functions between the lines. Note 1- You should not draw an "extra" discontinuity line at the point where the curve passes the x-axis.

Answered Draw The Shear Diagram For The Beam Bartleby

Answered Draw The Shear Diagram For The Beam Bartleby

The following are the important types of beams: 1. Cantilever beam, 2. Simply supported beam, ... We shall remember one easy sign convention, i.e., to the right side of a section, external force ... and B.M. diagrams for the cantilever beam. Shear Force Diagram S.F. at D, F D = + 800 N S.F. at C, F c = + 800 + 500 = + 1300 N

Solved Problem 7 90 Draw The Shear Diagram For The Beam Chegg Com

Solved Problem 7 90 Draw The Shear Diagram For The Beam Chegg Com

1 Answer to Draw the moment diagram for the beam DE. Follow the sign convention for the internal loadings in the beam shown in the figure below. Click on "add vertical line off' to add discontinuity lines. Then click on "add segment" button to add functions between the lines. Note 1 - The curve you choose from...

Problem 7 56 4 Of 4 Part A Draw The Shear Diagram For The Beam Follow The Homeworklib

Problem 7 56 4 Of 4 Part A Draw The Shear Diagram For The Beam Follow The Homeworklib

If all the beams have the same orientation,. Staad reports the correct diagram ( following the left up right down shear convention) . When the orientation of the last beam is changed, the start and end point changes, keeping the left up right down SF sign convention, Staad plots this SF diagram .

Shear Force And Bending Moments Shear Force And Bending Moment Diagrams Mechanics Of Materials Coursera

Shear Force And Bending Moments Shear Force And Bending Moment Diagrams Mechanics Of Materials Coursera

As for S.F., a convenient sign convention must be adopted. b. Bending moment (B.M.) sign convention Clockwise moments to the left and counterclockwise to the right are positive. Thus Fig. a - shows a positive bending moment system resulting in sagging of the beam at X-X and Fig. b- illustrates a negative B.M. system with its associated hogging ...

Solved Problem 7 76 1 Of 3 I Review Part A Draw The Shear Chegg Com

Solved Problem 7 76 1 Of 3 I Review Part A Draw The Shear Chegg Com

Answer to: Draw the shear and moment diagram for the beam. Follow the sign convention. By signing up, you'll get thousands of step-by-step...

Solved Draw The Shear Diagram For The Beam Follow The Sign Chegg Com

Solved Draw The Shear Diagram For The Beam Follow The Sign Chegg Com

Shear and Bending Moment Diagrams: The loading on most beams is such that the stress resultant on planes perpendicular to the axis of the beam consists of a shear force, V, and a bending moment, M. In determining beam responses, it is very convenient, if not essential, to first determine the shear and bending moment diagrams.

Light Sheet Fluorescence Microscopy Nature Reviews Methods Primers

Light Sheet Fluorescence Microscopy Nature Reviews Methods Primers

Choose the correct moment diagram for the beam. Follow the sign convention. It is a cubic curve that starts at zero and has a negative increasing slope. ... Choose the correct shear diagram for the beam. Follow the sign convention. x=1.005 m.

Solved Draw The Shear Diagram For The Beam Follow The Sign 1 Answer Transtutors

Solved Draw The Shear Diagram For The Beam Follow The Sign 1 Answer Transtutors

Shear and Moment Functions.The beam is sectioned at an arbitrary distance x from the support A,extending within region AB,and the free-body diagram of the left segment is shown in Fig. 6-4b. The unknowns V and M are indicated acting in the positive sense on the right-hand face of the segment according to the established sign convention. Applying

Drawing Shear And Moment Diagrams For Beam Youtube

Drawing Shear And Moment Diagrams For Beam Youtube

roller support at point D. The beam is and subjected to a linearly varying load from A to B, a point moment at point D a point load at point E as shown. Draw the diagram and the bending moment diagram for the beam. Label all local maximum and minimum values and their locations and show your sign convention for each diagram. 9 ft 2ft 3ft 4 ft 3 ...

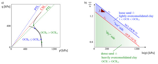
Geotechnics Free Full Text On The Dilatancy Of Fine Grained Soils Html

Geotechnics Free Full Text On The Dilatancy Of Fine Grained Soils Html

F.1 (b), the positive sign convention is (a) tension axial force, (b) shear forces that produce clockwise moments and (c) bending moments that result in tension stresses in the interior frame fibers. The sign convention of F.1(b) can be seen to be equivalent to the beam sign convention rotating columns AB and CD to line up with beam BC.

Solved Part A Draw The Shear Diagram For The Beam Follow Chegg Com

Solved Part A Draw The Shear Diagram For The Beam Follow Chegg Com

4.2 Notation and sign convention xShear force (V) Positive Shear Force A shearing force having a downward direction to the right hand side of a section or upwards to the left hand of the section will be taken as 'positive'. It is the usual sign conventions to be followed for the shear force. In some book followed totally opposite sign ...

Solved Draw The Shear Diagram For The Beam Follow The Sign Convention 1 Answer Transtutors

Solved Draw The Shear Diagram For The Beam Follow The Sign Convention 1 Answer Transtutors

F.1 (b), the positive sign convention is (a) tension axial force, (b) shear forces that produce clockwise momentsand (c) bending moments that result in tension stresses in the interior frame fibers. The sign convention of F.1(b) can be seen to be equivalent to the beam sign convention rotating columns AB and CD to line up with beam BC. 27

For The Figure Below Draw A Draw The Shear Diagram For The Beam Follow The Sign Convention B Draw The Moment Diagram For The Beam Follow The Sign Convention Study Com

For The Figure Below Draw A Draw The Shear Diagram For The Beam Follow The Sign Convention B Draw The Moment Diagram For The Beam Follow The Sign Convention Study Com

shear force and bending moment and also some basic concepts of strength of materials in our recent posts. We have already seen the various types of beams and different types of loads on beam during our previous posts. Today we will see here the sign conventions for shear force and bending moment diagram in subject of strength of materials with the help of this post.

Part A Draw The Shear Diagram For The Beam Follow The Sign Convention Figure 1 Click On 34 Add Vertical Line Off 34 To Add Discontinuity Lines Then Click On 34 Add Segment 34 Button To

Part A Draw The Shear Diagram For The Beam Follow The Sign Convention Figure 1 Click On 34 Add Vertical Line Off 34 To Add Discontinuity Lines Then Click On 34 Add Segment 34 Button To

Solved Problem 7 70 Draw The Shear Diagram For The Beam Chegg Com

Solved Problem 7 70 Draw The Shear Diagram For The Beam Chegg Com

Solved Draw The Shear Diagram For The Beam Follow The 1 Answer Transtutors

Solved Draw The Shear Diagram For The Beam Follow The 1 Answer Transtutors

Drawing Shear And Moment Diagrams For Beam Youtube

Drawing Shear And Moment Diagrams For Beam Youtube

Solved Consider The Beam Shown In Figure 1 Figure 1 Of Chegg Com

Solved Consider The Beam Shown In Figure 1 Figure 1 Of Chegg Com

Solved Draw The Shear Diagram And The Moment Diagram For The Beam Follow 1 Answer Transtutors

Solved Draw The Shear Diagram And The Moment Diagram For The Beam Follow 1 Answer Transtutors

Lppm Unram Ac Id

Lppm Unram Ac Id

Beam Reactions And Diagrams Strength Of Materials Supplement For Power Engineering

Beam Reactions And Diagrams Strength Of Materials Supplement For Power Engineering

Engineering Representations Guide Student Problem Solving In Statics Johnson Glauch 2019 Journal Of Engineering Education Wiley Online Library

Engineering Representations Guide Student Problem Solving In Statics Johnson Glauch 2019 Journal Of Engineering Education Wiley Online Library

Solved Draw The Shear Diagram For The Beam Follow The Sign Chegg Com

Solved Draw The Shear Diagram For The Beam Follow The Sign Chegg Com

Insights

Insights

Answers Are Correct Just Need Clarification On The Work To Get These Answers Statics Part A Homeworklib

Answers Are Correct Just Need Clarification On The Work To Get These Answers Statics Part A Homeworklib

Solved Draw The Shear Diagram For The Beam Follow The Sign Chegg Com

Solved Draw The Shear Diagram For The Beam Follow The Sign Chegg Com

Draw The Shear Diagram For The Beam Begin By Placing Vertical Lines Place The Appropriate Function Homeworklib

Draw The Shear Diagram For The Beam Begin By Placing Vertical Lines Place The Appropriate Function Homeworklib

Internal Shear Force An Overview Sciencedirect Topics

Internal Shear Force An Overview Sciencedirect Topics

Solved Problem 7 61 Part A Draw The Shear Diagram For The Chegg Com

Solved Problem 7 61 Part A Draw The Shear Diagram For The Chegg Com

Solved Draw The Shear Diagram For The Beam Follow The Sign Convention 1 Answer Transtutors

Solved Draw The Shear Diagram For The Beam Follow The Sign Convention 1 Answer Transtutors

Solved Problem 7 88 1 Of 3 M Review Part A Draw The Shear Chegg Com

Solved Problem 7 88 1 Of 3 M Review Part A Draw The Shear Chegg Com

Advanced Monopole And Dipole Sonic Log Data Processing Part 1 Real Time Geophysics

Advanced Monopole And Dipole Sonic Log Data Processing Part 1 Real Time Geophysics

Shear Force And Bending Moment Diagram Calculator Degreetutors Com

Shear Force And Bending Moment Diagram Calculator Degreetutors Com

Statics Bending Moment And Shear Diagram Example Request Youtube

Statics Bending Moment And Shear Diagram Example Request Youtube

Part A Draw The Shear Diagram For The Beam Follow The Sign Convention Figure 1 Click Homeworklib

Part A Draw The Shear Diagram For The Beam Follow The Sign Convention Figure 1 Click Homeworklib

1602 Questions With Answers In Correction Science Topic

1602 Questions With Answers In Correction Science Topic

Solved Draw The Shear Diagram For The Beam Follow The Sign Chegg Com

Solved Draw The Shear Diagram For The Beam Follow The Sign Chegg Com

Part A Draw The Shear Diagram For The Beam Follow The Sign Convention Figure 1 Click On 34 Add Vertical Line Off 34 To Add Discontinuity Lines Then Click On 34 Add Segment Button To

Part A Draw The Shear Diagram For The Beam Follow The Sign Convention Figure 1 Click On 34 Add Vertical Line Off 34 To Add Discontinuity Lines Then Click On 34 Add Segment Button To

Engineering Representations Guide Student Problem Solving In Statics Johnson Glauch 2019 Journal Of Engineering Education Wiley Online Library

Engineering Representations Guide Student Problem Solving In Statics Johnson Glauch 2019 Journal Of Engineering Education Wiley Online Library

0 Response to "40 choose the correct shear diagram for the beam. follow the sign convention."

Post a Comment

Iklan Atas Artikel

Iklan Tengah Artikel 1

Iklan Tengah Artikel 2

Iklan Bawah Artikel