39 project management network diagram
A network diagram in project management is useful for planning and tracking the project from beginning to finish. It represents a project's critical path as well as the scope for the project. A good network diagram will be a clear and concise graphic representation of a project. The ultimate network diagram guide covering network diagram symbols, types of network diagrams, network diagram best practices, and errors. It not only helps everyone on the team understand the structures, networks and processes; it also comes handy in project management, maintenance of...
Details: What Is a Network Diagram in Project Management? A project network diagram is a visual representation of the workflow of a project. A network diagram is a chart that is populated with boxes noting tasks and responsibilities, and then arrows that map the schedule and the sequence that...

Project management network diagram
What project management is good at is making the complex simple, or at least manageable. There are, of course, lots of different ways to achieve that goal, many of which are employed during the life cycle of a project. Project Management Network Diagrams or simply Project Network Diagrams are used for schedule preparation and analysis. They use a combination of nodes and arrows to pictorially represent activities and relationships among those activities. To project resulted in success, as an essential part of the project is outlined and described his previous careful planning while successful, cost-effective and quality management. The paper discusses the development of a network planning diagram for men's trousers production project.
Project management network diagram. This is where a network diagram project management approach comes in handy. Because network diagrams show every task and dependency in one go, they can help project managers estimate jobs, make more informed decisions, and track and manage progress more efficiently. Must-know details about project network diagrams. First, project network diagrams and work breakdown structures (WBS) are sisters that always get Other names for a project network diagram include project management network diagram, project flow diagram, project flow chart, project... Adaptive Project Management. Teamwork vs. Collaboration. The Difference Between the Scrum Master and the Project Manager. Step 3. Constructing a network diagram. Once you established the sequence of activities, you can represent both serial and parallel activities in the diagram. Many project managers use network diagrams when scheduling a project. The network diagram is a schedule but is used primarily to identify key scheduling information that ultimately goes into user-friendly schedule formats, such as milestone and Gantt charts.
Project Network Diagrams - Project Management. This project management network diagram template is in portrait orientation and progresses from the top to the bottom. To use this template, enter your starting item in the first shape and continue replacing the sample text in the shapes that follow... 5 hours ago A project schedule network diagram is an output type of the process 'sequencing activities' according to PMI's Guide to the Project Management Body of Knowledge (PMBOK®, 6 th ed., ch. 6.3.3). Project schedule network diagrams show the order in which activities should be... Project Schedule Network Diagram Explained with Examples. How. Details: Types of Project Network Diagrams. There are only two types of project network diagrams in project management. These are the arrow diagramming method (ADM), also referred to as the activity... Network diagrams are extensively used in network architecture design. For example, this type of diagram can be helpful in planning the arrangement Moreover, network diagrams have also gained popularity in project management. Utilizing this type of diagram, project managers can vividly...
Alluding to a particular project management technique, the project team utilizes a schedule network diagramming procedure to graphically represent any acknowledged and preexisting schedule activities through the utilization of nodes. The most significant advantage of using the precedence... Browse network diagram templates and examples you can make with SmartDraw. Organizational Chart. Planogram. Project Management. Software Design. Strategic Planning. 1 hours ago This project management network diagram template is in portrait orientation and progresses from the top to the bottom. To use this template, enter your starting item in the first shape and continue replacing the sample text in the shapes that follow with the subsequent activities. This Project Management Plan is the third article of the Strategic Risks & Project Management series which adopt the PMI Project Management Body of Knowledge (PMBOK). Project Timeline Management. Network Diagram & Critical Path.

Activity On Node Network Diagramming Tool Conceptdraw Project Project Management Software Tool Uml Deployment Diagram Draw Project Management Nodes
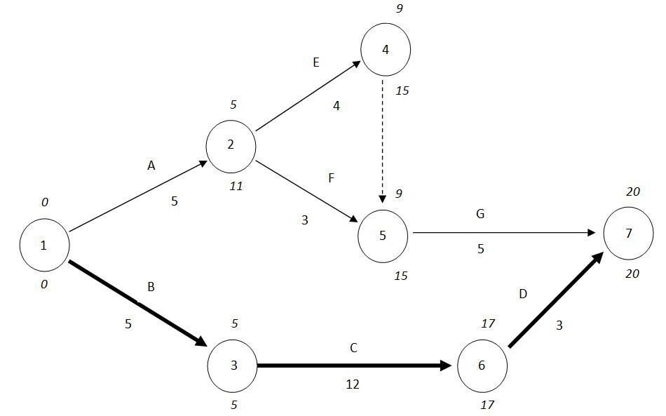
In project management, the network diagram is a graphical depiction of a project schedule which uses boxes to represent each task. It is used to determine the critical path, as well as the float of each task. Critical Path: The tasks which define the completion date of the project.
Benefits of the project management network diagram. A network diagram allows a project manager to track each element of a project and quickly share its status with others. Its other benefits include
Creating a project network diagram can help you plan projects more accurately. " A network in project management displays the duration of project activities and the dependencies between activities graphically or as a table. Project Management Network Diagrams - Types, Explanation ...
Network Diagram in Project Management: A Complete … › Search The Best tip excel at www.edrawsoft.com. Excel. Details: Project network diagram makes it indeed a crucial and time-consuming task, as a Project manager you need to supply all the talents and need to give every little...
How to create a project network diagram from a WBS ( Work Breakdown Schedule). Shows how to then calculate the Scheduling times and the critical path using...
A project management chart is a graphical representation of the data related to a project. There are different types of project management charts A PERT chart represents the activities and milestones of a project in the form of a network diagram. Interestingly, the PERT and CPM methods have many...

Project Management Process Network Diagram One Page Summary Report Ppt Pdf Document Presentation Graphics Presentation Powerpoint Example Slide Templates
The Project Schedule Network Diagram as the PMBOK Guide calls it officially, is first created as an output of sequence activities and then used as an input to develop schedule. Having project management software really makes this task easy. But on the PMP exam, you will not have software.
Project Online Desktop Client Project Professional 2021 Project Standard 2021 Project Professional 2019 Project Standard 2019 Project Professional 2016 Project Standard 2016 Project A Network Diagram is a graphical way to view tasks, dependencies, and the critical path of your project.
A project network diagram is a graph that displays the order in which a project's activities are to be completed. Derived from the work breakdown structure, the terminal elements of a project are organized sequentially based on the relationship among them.
Dummies has always stood for taking on complex concepts and making them easy to understand. Dummies helps everyone be more knowledgeable and confident in applying what they know. Whether it's to pass that big test, qualify for that big promotion or even master that cooking technique; people...
Network diagrams are representations of networks and their working in the form of diagrams. PERT similar to the Critical Path Method (or CPM). Both are project management techiques developed in the 1950s and CPM is associated with the US Polaris programme.
Project Management Network DiagramNetwork diagrams are used by Project Managers to track the progress of activities during the course of the Managers can use network diagrams to better allocate resources and schedule their timelines.But creating a network diagram requires a lot of...
To project resulted in success, as an essential part of the project is outlined and described his previous careful planning while successful, cost-effective and quality management. The paper discusses the development of a network planning diagram for men's trousers production project.
Project Management Network Diagrams or simply Project Network Diagrams are used for schedule preparation and analysis. They use a combination of nodes and arrows to pictorially represent activities and relationships among those activities.

Project Management Network Ppt Powerpoint Ideas Powerpoint Slide Template Presentation Templates Ppt Layout Presentation Deck
What project management is good at is making the complex simple, or at least manageable. There are, of course, lots of different ways to achieve that goal, many of which are employed during the life cycle of a project.

Project Management Network Diagram Project Execution Plan Implementation Training Cpb Presentation Powerpoint Diagrams Ppt Sample Presentations Ppt Infographics
0 Response to "39 project management network diagram"
Post a Comment